Derivada de la función exponencial
Regla de la cadena para  la funcion exponencial compuesta

Funciones  del tipo número elevado a una función

Estamos interesados en derivar funciones en que la variable solo está en el exponente. Cuando el exponente es una función distinta de x, hay que aplicar la regla de la cadena. Aquí mostramos fórmulas para derivar este tipo de funciones, af(x), como y=2√x+5 y funciones en que aparecen este tipo de expresiones, como y=x4·34x+1.

Empezamos con la derivada de la función exponencial de base $e$







Geométricamente esto se interpreta como la pendiente de la recta tangente en cualquier punto $(x,f(x))$ de la gráfica es la ordenada del punto.


Ejercicio Determine la derivada de
 


Pulsa el botón para ver las respuestas




Diferenciación de funciones exponenciales de base e compuestas con función

Son funciones que se presentan con la forma número e elevada a función.
Podemos obtener la derivada aplicando la regla de la cadena



En la animación se presenta ejemplos variados en que hay que diferenciar este tipo de funciones.





Diferenciación de funciones exponenciales de base a

Queremos derivar una función exponencial con base $a\ne 1$ distinta a e,     $f(x)=a^x,\quad a>0 (\ne 1)$

Podemos reescribir antes de derivar, para expresar la función en términos de la exponencial con base e. Para eso, usamos la definición del logaritmo

$ a^x\quad =e^{ln(a^x)} \qquad$ aplicar la propiedad del logaritmo de una potencia
$\qquad = e^{xln(a)} $

Podemos reescribir antes de derivar, para expresar la función en términos de la exponencial con base e. Para eso, usamos la definición del logaritmo

  Así, obtenemos que
           
 

$(a^x)'=a^x\cdot \ln(a)$


Date cuenta que si la base no es $e$, entonces aparece el factor logaritmo neperiano de la base.

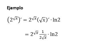
Ejemplo






Diferenciación de funciones exponenciales de base a compuesta con función

También podemos aplicar la regla de la cadena para encontrar una fórmula para exponenciales de funciones con base a, mayor que 0

 

$ (a^{u(x)})'=a^{u(x)}{u'(x)}\cdot \ln(a)$





En los ejemplos de la animación podrás ver cómo encontrar la derivada de funciones que contienen la forma exponencial compuesta con base distinta a e.

No te olvides multiplicar por el logaritmo natural de la base.






REESCRIBIR ANTES DE DERIVAR

Podemos usar las propiedades de los exponentes junto con otras propiedades de los números reales a fin de escribir de manera equivalente la función a derivar, para calcular la derivada de una forma más fácil.


• Recuerda la notación de exponente racional, $\sqrt[n]{a^m}=a^{m/n}.$ Permite escribir un radical como una potencia o una expresión racional.

• Ten presente la propiedad de potencias de la misma base, $a^na^m=a^{n+m}$. Al aplicarla conviertes un producto de expresiones exponenciales en una sola expresión exponencial.

• En el caso de tener una fracción con denominador un monomio, piensa si conviene pasarlo al numerador con exponente cambiado de signo: $\frac{b}{a^m}=b\cdot a^{-m}$. En este caso estas reescribiendo un cociente como un producto.

• Puedes también descomponer como una suma de fracciones con igual denominador y entonces simplificar las fracciones.


En la animación y en los ejercicios resueltos podrás ver cómo se aplican estos consejos

Ejercicio Reescribir la función y luego derivar

Tal como está la función es un cociente. Podemos simplificar para derivar más fácil.
 




2) $\; y=\sqrt{\dfrac{e^x+1}{e^x} }$
Se usa la regla de la raíz. La interna es un cociente. Podemos derivar la interna como un cociente, pero tambien podemos simplificar.




   


POTENCIAS Y EXPONENTES COMBINADOS

Presentamos una animación con distintos casos en que aparecen funciones potencia y exponenciales combinados. Abajo algunos ejercicios resueltos y otros con la respuesta que permite intuir la regla aplicada.

Ejercicios Derive cada una de las siguientes funciones.